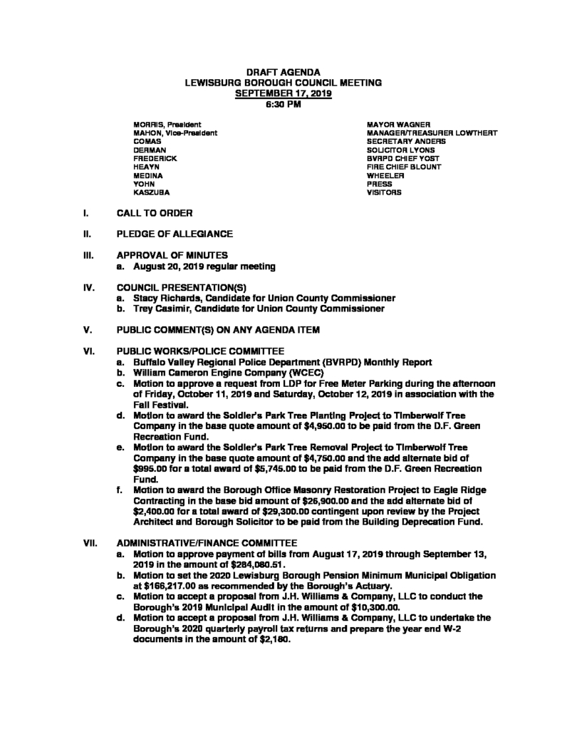
Warning: Undefined array key "file" in /home/lewisburgborough/public_html/wp-includes/media.php on line 1788 09-17-19 Draft AgendaSeptember 16, 2019 https://www.lewisburgborough.org/wp-content/uploads/LewisburgBoroughLogo-Darker_web.png 0 0 Kathy Wendt https://www.lewisburgborough.org/wp-content/uploads/LewisburgBoroughLogo-Darker_web.png Kathy Wendt2019-09-16 15:43:122019-09-16 15:44:4509-17-19 Draft Agenda